氫滲透膜
其他
能源與氫能社會
半導體
板材、線材與管材
車用應用

什麼是"氫滲透膜"?
這些高功能金屬膜能夠選擇性地只允許氫氣通過,用於氫氣的純化和回收。特別是鈀合金薄膜,兼具優異的滲透性和耐久性,在氫氣生產、加氫站和燃料電池相關製程中備受關注。
實現氫氣的超高純度化。
我們利用鈀這種金屬獨有的氫氣選透性來實現氫氣提煉。田中貴金屬的超薄材料加工技術和高純度技術,生產出高度可靠的氫氣氫滲透膜滲透性。
用途
- 高純度氫氣提煉設備、蒸氣重整產氫設備等。
軋箔
這樣就能獲得超高純度的氫氣。
我們將利用鈀在所有金屬中獨有的氫氣選透性來實現氫氣提煉。
我們的超薄材料加工技術和高純度技術使我們能夠提供高度可靠的氫氫滲透膜滲透性能。
- 無針孔
- 薄膜技術和回收製程降低了貴金屬的成本。
- 可支持2元係、3元係等多種鈀合金
- 從合金的溶解到壓延進行一條龍加工。
- 將不溶性介質混入控制在最小限度的高清潔工序
覆蓋範圍 (用於評估的原型樣品)
| 合金 | 厚度 | 寬度 |
|---|---|---|
| HPM-H300(Pd) | >15微米 | 小於120毫米 |
| HPM-H320(PdAg23) | >15微米 | 小於120毫米 |
| HPM-H310(PdCu40) | >10微米 | 小於120毫米 |
| HPM-H330(PdAu7) | >15微米 | 小於120毫米 |

除了 PdCu 基材外,我們還可以使用 PdAg 基材和 PdAu 基材製造原型氫滲透膜。
我們也可以滿足有關成分比例的要求。
如需索取用於各種評估目的的原型樣品,請隨時聯絡我們。
鈀透氫機理

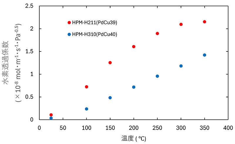
HPM-H211 (PdCu39,推薦300°C)
■ 品名:HPM-H211
■ 想定用途:低温環境下での高純度水素精製・除去
■ 特徴
- 與過去產品HPM-H310(PdCu40)相比,它在較低溫度下具有更高的氫滲透性。
- 通過實現完全的bcc相,提高氫透過性能
- 不需要額外的加熱設備,減少加熱過程中設備的氧化
- 與其他技術相比,它有助於氫氣提煉設備的微型化。

| 合金 | 厚度 | 寬度 | 長度 | 工作溫度帶 |
|---|---|---|---|---|
| HPM-H310 (PdCu40) |
>10µm | 小於120毫米 | 小於100毫米 | 400℃ |
| HPM-H211 (PdCu39) |
>10µm | 小於120毫米 | 小於100毫米 | 300℃ |
關於組成不同引起的氫透過係數的溫度依賴性差異

以往的貴金屬膜需要約400°C的運行溫度,而
HPM-H211 (PdCu39) 的組成在約300°C附近的溫度帶下可發揮最大性能。
強度比較-HPM-H310 (PdCu40) 與HPM-H211 (PdCu39)

HPM-H211 (PdCu39) 和HPM-H310 (PdCu40) 的β化熱處理後拉伸強度基本相同
與HPM-H310 (PdCu40) 的條件相同。
HPM-L111 (建議100°C)
世界上第一個在100°C以下顯示高氫透過性能的金屬膜
■ 產品名稱:HPM-L111
■ 預期用途:低溫環境下的氫氣提煉與去除
■ 特點
- 雖然過去產品在 400°C 左右使用,但 HPM-L111 可以在100°C 左右使用。
- 100°C左右下顯示高氫透過性能的世界首例金屬膜

| 品名 | 厚度 | 寬度 | 長度 | 建議溫度 |
|---|---|---|---|---|
| HPM-H310 (PdCu40) |
>10µm | 小於120毫米 | 小於100毫米 | 400℃ |
| HPM-H211 (PdCu39) |
>10µm | 小於120毫米 | 小於100毫米 | ~300℃ |
| HPM-L111 (新開發產品) |
>10µm | 小於35毫米 | 小於85毫米 | ~100℃ |
關於組成不同引起的氫透過係數的溫度依賴性差異


典型的鈀合金氫滲透膜在200°C以下性能迅速下降。這被認為是由於氫氣從薄膜表面滲透到薄膜內部的速率在200°C以下降低所致。
通過特殊的表面改質提高氫氣侵入速度,大大提高了低溫下的氫氣透過性能。
相關資訊
Scroll
