Hydrogen Permeable Membranes

What is a "Hydrogen Permeable Membrane"?
This highly functional metal membrane selectively allow only hydrogen to pass through, and are used for the purification and separation of hydrogen. Palladium alloy membranes in particular combine excellent permeability with durability, and are attracting attention in hydrogen production, hydrogen stations, and fuel cell-related processes.
TANAKA has succeeded in developing an ultra-high purification process for hydrogen gas.
Palladium is the only metal that has hydrogen permselectivity. TANAKA has succeeded in developing a purification process for hydrogen gas that exploits this permselectivity. With our ultra-thin membrane processing technology and high purification technology, we are able to offer highly reliable hydrogen permeable membranes with maximum hydrogen permeability.
Applications
- High-purity hydrogen gas purifiers, steam reforming based hydrogen production units, etc.
Rolled Foils
This technology enables the ultra-purification of hydrogen gas.
Hydrogen gas refining is achieved using hydrogen permselectivity, a property unique to palladium among all metals.
Through our ultra-thin material processing and high-purity technologies, we provide Hydrogen Permeable Membranes that are highly reliable and maximize hydrogen permeation performance.
- Pinhole-free
- Reduce precious metal costs through thin film technology and recycling processes.
- Available for a wide range of palladium alloys, such as binary and ternary alloys
- Integrated processing from alloy melting to rolling.
- High-purification process that can minimize insoluble impurities
Dimensions and shapes available(Prototype samples for evaluation)
| Alloy | Thickness | Width |
|---|---|---|
| HPM-H300(Pd) | >15um | <120mm |
| HPM-H320(PdAg23) | >15um | <120mm |
| HPM-H310(PdCu40) | >10um | <120mm |
| HPM-H330(PdAu7) | >15um | <120mm |

In addition to PdCu-based materials, we can also fabricate prototype Hydrogen Permeable Membranes using PdAg-based and PdAu-based materials.
We can also accommodate requests regarding composition ratios.
Please feel free Inquiry regarding prototype samples for various evaluation purposes.
Hydrogen Permeation Mechanism of Palladium

HPM-H211 (PdCu39, recommended at 300℃)
■ Product name: HPM-H211
■ Intended use: High-purity hydrogen purification and removal at low temperatures
■ Features
- Higher hydrogen permeability at low temperatures compared to conventional HPM-H310 (PdCu40)
- High hydrogen permeability through the realization of a complete bcc phase
- No additional heating equipment is required, and oxidation of equipment during heating processes is also reduced.
- Compared to other technologies, contributes to the miniaturization of hydrogen refining equipment

| Alloy | Thickness | Width | Length | Temperature range for use |
|---|---|---|---|---|
| HPM-H310 (PdCu40) |
>10µm | <120mm | <100mm | 400℃ |
| HPM-H211 (PdCu39) |
>10µm | <120mm | <100mm | 300℃ |
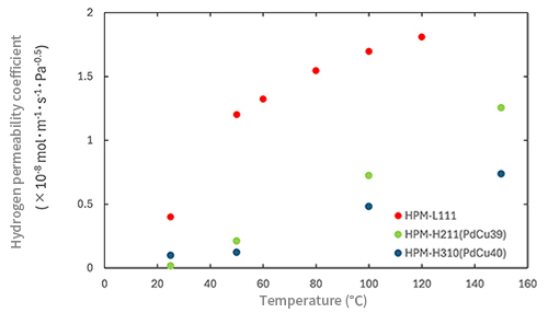
Differences in the Temperature Dependence of Hydrogen Permeability due to Differences in Composition

Conventional precious metal films required an operating temperature of approximately 400°C,
The HPM-H211 (PdCu39) composition allows for maximum performance to be achieved at temperatures around 300°C.
Strength Comparison - HPM-H310 (PdCu40) vs HPM-H211 (PdCu39)

The tensile strength after β-heat treatment is almost the same for HPM-H211 (PdCu39) and HPM-H310 (PdCu40).
It can be used under the same conditions as HPM-H310(PdCu40).
HPM-L111(Recommended at 100℃)
World's first metal film with high hydrogen permeability below 100℃
■ Product name: HPM-L111
■ Intended use: Hydrogen refining and removal in low-temperature environments
■ Features
- While conventional ones are used at around 400℃, HPM-L111 can be used at around 100℃
- World's first metal film with high hydrogen permeability at around 100℃

| Product name | Thickness | Width | Length | Recommended temperature |
|---|---|---|---|---|
| HPM-H310 (PdCu40) |
>10µm | <120mm | <100mm | 400℃ |
| HPM-H211 (PdCu39) |
>10µm | <120mm | <100mm | ~300℃ |
| HPM-L111 (Newly Developed Product) |
>10µm | <35mm | <85mm | ~100℃ |
Differences in the Temperature Dependence of Hydrogen Permeability due to Differences in Composition


The performance of typical Pd alloy Hydrogen Permeable Membranes rapidly deteriorates below 200℃. This is thought to be because the rate of hydrogen permeation from the membrane surface to the inside of the membrane decreases below 200℃.
By improving the hydrogen intrusion rate through a special surface modification, we have succeeded in significantly improving hydrogen permeability at low temperatures.
Related Information
Please Inquiry
Please feel free Inquiry with any inquiries regarding products, media, competitive funding, etc.
