貴金属化合物

「貴金属化合物」とは
塩化白金酸溶液などの基本的な無機塩化合物から、有機貴金属錯体などの高度な化合物まで、用途に応じて製造・供給される製品群です。主に自動車排ガス触媒や石油化学触媒の原料、均一系触媒などに使用され、電子部品の製造や化学プロセスに欠かせない機能性材料として活用されています。幅広い業界に向けたカスタム対応力が差別化の要となっています。
用途に応じて、あらゆる貴金属化合物を製造・供給します。
めっき薬品や触媒として、多くの産業分野で使用される貴金属化合物。シアン化金カリウム・塩化パラジウムなどの一般的なものから複雑な有機貴金属化合物まで、用途に合わせて柔軟に生産し、万全の品質管理体制で提供いたします。
特長
- めっき等に使用される貴金属化合物を安定供給
- 均一系触媒として使用される有機貴金属化合物も各種製造
| 化合物名 | 化学式 | CAS RN® | ||
|---|---|---|---|---|
| Pt | ヘキサクロロ白金(Ⅳ)酸六水和物 | H2[PtCl6]・6H2O | 18497-13-7 | |
| ジアンミンジニトロ白金(Ⅱ)硝酸溶液 | [Pt(NO2)2(NH3)2] | 14286-02-3 | ||
| ヘキサアンミン白金(Ⅳ)クロライド溶液 | [Pt(NH3)6]Cl4 | 16893-12-2 | ||
| テトラアンミン白金(Ⅱ)クロライド | [Pt(NH3)4]Cl2・H2O | 13933-32-9 | ||
| テトラアンミン白金(Ⅱ)水酸塩溶液 | [Pt(NH3)4](OH)2 | 15651-37-3 | ||
| ※ | ビス(アセチルアセトナト)白金(Ⅱ) * Pt(acac)2 |
Pt(C5H7O2)2 | 15170-57-7 | |
| Pd | 塩化パラジウム | PdCl2 | 7647-10-1 | |
| 硝酸パラジウム溶液 | Pd(NO3)2 | 10102-05-3 | ||
| 硫酸パラジウム | PdSO4・nH2O | 13566-03-5 | ||
| テトラアンミンパラジウム(Ⅱ)クロライド溶液 | [Pd(NH3)4]Cl2 | 13815-17-3 | ||
| テトラアンミンパラジウム(Ⅱ)水酸塩溶液 | [Pd(NH3)4](OH)2 | 68413-68-3 | ||
| ジアンミンジニトロパラジウム(Ⅱ)溶液 | [Pd(NO2)2(NH3)2] | 14852-83-6 | ||
| 酢酸パラジウム(Ⅱ) * Pd(OAc)2 |
Pd(CH3COO)2 | 3375-31-3 | ||
| ※ | ビス(アセチルアセトナト)パラジウム(Ⅱ) * Pd(acac)2 |
Pd(C5H7O2)2 | 14024-61-4 | |
| trans – ジクロロビス(トリフェニルホスフィン)パラジウム(Ⅱ) trans-PdCl2(PPh3)2 |
trans-PdCl2[(C6H5)3P]2 | 13965-03-2 | ||
| Rh | 酸化ロジウム | Rh2O3 | 12036-35-0 | |
| 塩化ロジウム | RhCl3・3H2O | 13569-65-8 | ||
| 硝酸ロジウム溶液 | Rh(NO3)3 | 10139-58-9 | ||
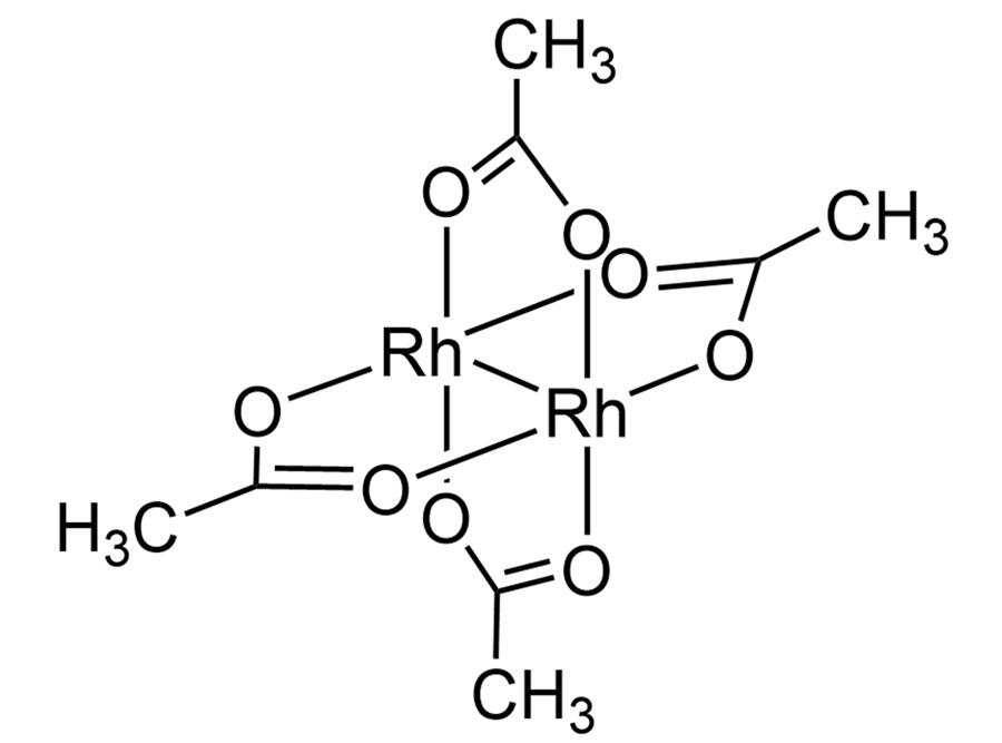
| ※ | 酢酸ロジウム(Ⅱ)ダイマー * Rh2(OAc)4 |
Rh2(CH3COO)4 | 15956-28-2 | |
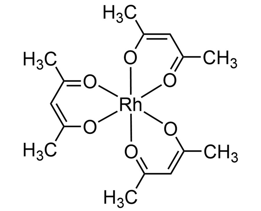
| ※ | トリス(アセチルアセトナト)ロジウム(Ⅲ) * Rh(acac)3 |
Rh(C5H7O2)3 | 14284-92-5 | |
| ※ | クロロトリス(トリフェニルホスフィン)ロジウム(Ⅰ) * RhCl(PPh3)3 |
RhCl[(C6H5)3P]3 | 14694-95-2 | |
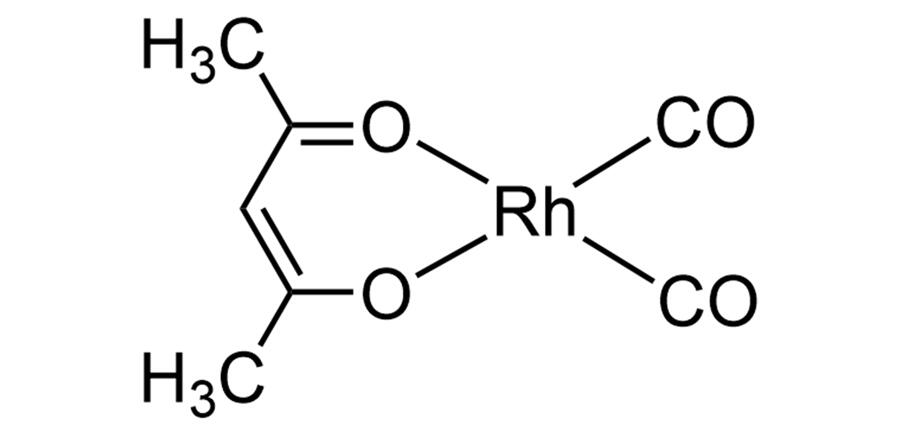
| ※ | アセチルアセトナトジカルボニルロジウム(Ⅰ) * Rh(acac)(CO)2 |
Rh(CO)2(C5H7O2) | 14874-82-9 | |
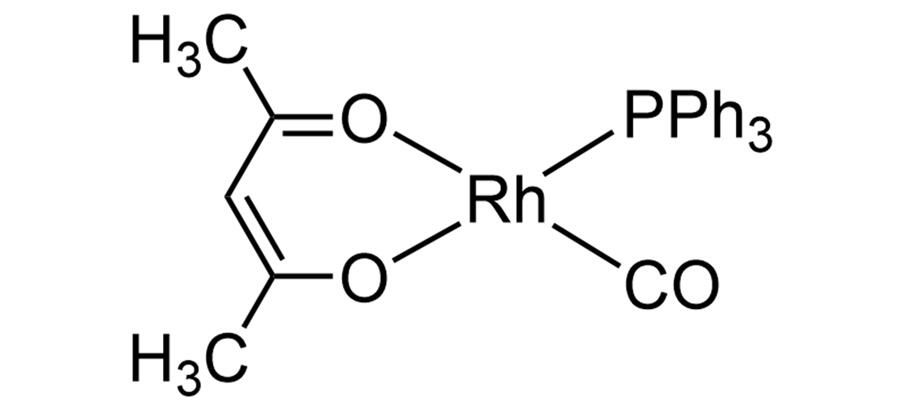
| アセチルアセトナトカルボニルトリフェニルホスフィンロジウム(Ⅰ) * Rh(acac)(CO)(PPh3) |
Rh(C5H7O2)(CO)((C6H5)3P) | 25470-96-6 | ||
| Ru | 塩化ルテニウム溶液 | H2[RuCl6] | 13465-52-6 | |
| 酸化ルテニウム | RuO2 | 12036-10-1 | ||
| 硝酸ルテニウム溶液 | Ru(NO3)3 | 15825-24-8 | ||
| ※ | ドデカカルボニルトリルテニウム(O) * | Ru3(CO)12 | 15243-33-1 | |
| ※ | トリス(アセチルアセトナト)ルテニウム(Ⅲ) * Ru(acac)3 |
Ru(C5H7O2)3 | 14284-93-6 | |
| Ir | 酸化イリジウム | IrO2 | 12030-49-8 | |
| 塩化イリジウム | IrCl3・nH2O | 14996-61-3 | ||
| ※ | トリス(アセチルアセトナト)イリジウム(Ⅲ) * Ir(acac)3 |
Ir(C5H7O2)3 | 15635-87-7 | |
| Au | テトラクロロ金(Ⅲ) 酸 四水和物 | H(AuCl4)・4H2O | 1303-50-0 | |
| シアン化第二金カリウム | K(Au(CN)4) | 14263-59-3 | ||
| シアン化金カリウム | K(Au(CN)2) | 13967-50-5 | ||
| 亜硫酸金ナトリウム溶液 | Na3(Au(SO3)2) | 19153-98-1 | ||
| Ag | 硝酸銀 | AgNO3 | 7761-88-8 | |
| シアン化銀 | AgCN | 506-64-9 | ||
| シアン化銀カリウム | K[Ag(CN)2] | 506-61-6 | ||
CAS Registry Numbers® are the intellectual property of the American Chemical Society; and are used by TANAKA PRECIOUS METAL TECHNOLOGIES Co., Ltd. with the express permission of CAS.
※量産スケールは別途ご相談願います。その他各種取り揃えています。
ビス(アセチルアセトナト)
白金(Ⅱ)

Pt(acac)2
酢酸パラジウム(Ⅱ)

Pd(OAc)2
ビス(アセチルアセトナト)
パラジウム(Ⅱ)

Pd(acac)2
酢酸ロジウム(Ⅱ)ダイマー

Rh2(OAc)4
トリス(アセチルアセトナト)
ロジウム(Ⅲ)

Rh(acac)3
クロロトリス
(トリフェニルホスフィン)
ロジウム(Ⅰ)

RhCl(PPh3)3
アセチルアセトナトジカル
ボニルロジウム(Ⅰ)

Rh(acac)(CO)2
アセチルアセトナト
カルボニル
トリフェニルホスフィン
ロジウム(Ⅰ)

Rh(acac)(CO)(PPh3)
ドデカカルボニルトリ
ルテニウム(O)

Ru3(CO)12
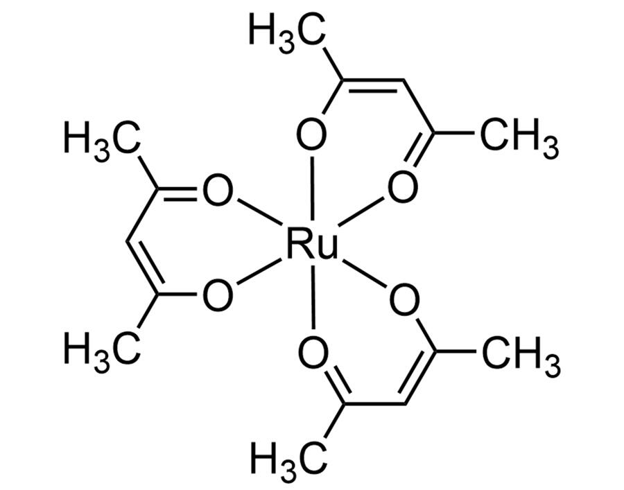
トリス(アセチルアセトナト)
ルテニウム(Ⅲ)

Ru(acac)3
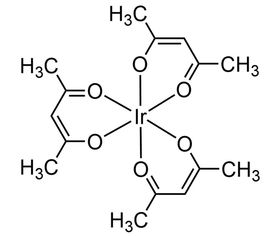
トリス(アセチルアセトナト)
イリジウム(Ⅲ)

Ir(acac)3